| 일 | 월 | 화 | 수 | 목 | 금 | 토 |
|---|---|---|---|---|---|---|
| 1 | 2 | 3 | ||||
| 4 | 5 | 6 | 7 | 8 | 9 | 10 |
| 11 | 12 | 13 | 14 | 15 | 16 | 17 |
| 18 | 19 | 20 | 21 | 22 | 23 | 24 |
| 25 | 26 | 27 | 28 | 29 | 30 | 31 |
Tags
- 빅테크 이슈
- 파이썬
- 검증 데이터
- 트리의지름
- 다중 레이블 분류
- Top Tab Navigator
- 머신러닝 교재
- 플랫폼 독점
- 양자우위
- 프로그래머스
- 인프핑#InfraAgent
- 다중분류
- qubit
- 머신러닝
- 리나칸
- NISQ
- 얽힘상태
- Bottom Tab Navigator
- 전자중첩
- 알고리즘
- 다중큐빗
- 아마존의 반독점 역설
- 머신러닝 검증
- Amazon's Antitrust Paradox
- 양자역학
- 이진분류
- 트리
- Lv3
- 단일큐빗
- 나의 첫 머신러닝/딥러닝
Archives
- Today
- Total
엄지척 블로그
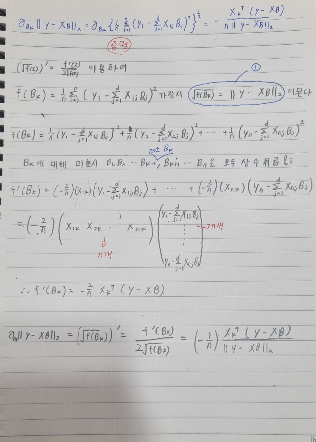
[경사하강법] [목적식 증명](L2 노름) 본문

'머신러닝(Machine Learning)' 카테고리의 다른 글
| [머신러닝 기초 2] [학습이란?] (0) | 2021.11.01 |
|---|---|
| [머신러닝 기초 1] [ 머신러닝을 시작하면서 .. ] (0) | 2021.11.01 |
Comments